- motor névleges fordulatszám: nn (/min)
- motor szinkron fordulatszám: n0 (/min)
- motor névleges árama: In (A)
- motor névleges teljesítménytényező: cosφn
- motor névleges hatásfok: ηn (%)
- motor névleges feszültség: Un=3x400V, f=50Hz
- motor névleges forgató nyomatéka: M (Nm)
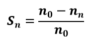
- motor névleges szlipje: Sn
- motor névleges teljesítmény: Pn (W)
- motor összes vesztesége: Pv (W)
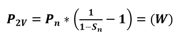
- motor névleges forgórész vesztesége: P2V (W)
motor névleges forgató nyomatéka:
![]()
poluspárok száma 50Hz: 1=3000; 2=1500; 3=1000; 4=750; 5=600; 6=500
szinkron fordulatszám (n₀) kiszámítása:

motor névleges szlipje:

szinkron fordulatszám 50 Hz-nél (n0):
Pólusok száma (P) = n₀ (1/min)
2 pólus = 3000
4 pólus = 1500
6 pólus = 1000
8 pólus = 750
10 pólus = 600
motor névleges árama:

A túlterhelés védelmet a motor névleges áramára kell beállítani!
motor összes vesztesége:
![]()
motor névleges forgórész vesztesége:

- Áramerősség: I (A)
- Feszültség: U (V)
- Ellenállás (rezisztancia): R (Ω)
- Egyenáramú pillanatnyi teljesítmény: P (W)
- Váltakozóáramú pillanatnyi teljesítmény: S (VA)
- Hatásos teljesítmény: Ph (W)
- Meddő teljesítmény: Q (VAN)
- Villamos munka: W (Ws)
- Periódus idő: T (s)
- Frekvencia: f (Hz)
- Hatásfok: η (%)
- Induktív reaktancia: XL (Ω)
- Kapacitív reaktancia: XC (Ω)
- Impedancia: Z (Ω)
- Fajlagos ellenállás: ρ vagy ƍ ((Ω*mm²)/m)
- Villamos vezetés (konduktancia): G (s)
Vezeték ohmos ellenállása:
R = 2 * I * ρ / A
Feszültségesés:
Ue = I * R
Egyenáramú villamos pillanatnyi teljesítmény: P (W)
![]()
Váltakozóáramú villamos pillanatnyi teljesítmény [VA]:
Látszólagos teljesítmény:
![]()
![]()
hatásos teljesítmény (W):
![]()
![]()
Meddő teljesítmény [VAN]:
![]()
![]()
eredő ellenállás:
Re = R1 + R2
eredő ellenállásból feszültség számolás:
U = Re x I
eredő ellenállásból teljesítmény számolás:
P = Re x I2
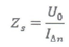
hibahelyi hurokimpedencia 1F TN-S rendszerben:

napi villamosenergia fogyasztás:
W = P x t
névleges teljesitmény-1F transzformátor:
Sn = U1n x I1n
vezeték feszültségeses:
Ue = It x R
TN-C: L+PEN
TN-S: L+N+PE
TN-C-S: L+PEN majd L+N+PE
TT: L+N+fogyasztónál PE
IT:
Védővezető keresztmetszete (MSZ HD 60364-4-41):
16 mm²-ig megegyezik a fázisvezetővel
16-35 mm²-es fázisvezető esetén 16 mm²
35 mm² felett pedig a fázisvezető fele lehet, de legalább 16 mm²
Feszültségszintek:
Törpefeszültség: AC 0-50V; DC 0-120V
Kisfeszültség: AC 50-1000V; DC 120-1500V
Középfeszültség: 1000V-35kV
Nagyfeszültség: 35kV-750kV
Vizsgáló feszültség (MSZ HD 60364-6:2017):
A lakás áramköreit (3x400/230V, 50Hz) üzembe helyezés előtt, legalább 20mA vizsgáló feszültséggel kell mérni a berendezés vezetőinek folytonosságát.
Mit nevezünk egy kisfeszültségű berendezés esetén „alapvédelemnek”:
Az üzemszerűen feszültség alatt álló részek tévedésből vagy tudatosan történő érintése elleni védelmet.

