1. Feszültség; 2. Áramerősség; 3. Ellenállás (rezisztancia); 4. Villamos vezetés (konduktancia); 5. Fajlagos ellenállás; 6. Villamos pillanatnyi teljesítmény; 7. Villamos munka / energia felhasználás; 8. Periódus idő; 9. Frekvencia; 10. Hatásfok; 11. Reaktancia; 12. Impedancia (komplex ellenállás)
1. Feszültség
- Jele: U
- Mértékegysége: V (Volt)
- Fogalma:
- A villamos tér munkavégző képessége, hogy a villamos tér mekkora munka árán mozgatja el a töltéshordozót egy áramkörben.
- Két pont között mérhető potenciálkülönbség.
A feszültséget mindig az áramkör két kiválasztott pontja között mérjük!

(1 Joule (J) = 1 Coulomb (C) × 1 Volt (V) )
Feszültségszintek (MSZ 1 szerinti szabvány):
- Törpefeszültség (ELV – EXTRA LOW VOLTAGE)
- AC -> x V ≤ 50V-ig
- DC -> x V ≤ 120V-ig
- Kisfeszültség (LOW VOLTAGE)
- AC -> 50V < x V ≤ 1000V
- DC -> 120V < x V ≤ 1500V
- Középfesztültség
- 1000V < x V ≤ 35kV (6-10-22-33/35kV)
- Nagyfeszültség
- 35kV < x V ≤ 750kV (120-220-400kV-750kV)
(M.o.-n ez a max.)
- 35kV < x V ≤ 750kV (120-220-400kV-750kV)
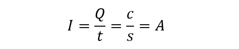
2. Áramerősség
- Jele: I
- Mértékegysége: A (amper)
- Fogalma:
- A vezető keresztmetszetén 1s alatt átáramló töltések (elektronok) mennyisége.

1A az áramerősség, ha 1C töltés halad át a vezetőn egységnyi idő alatt.

3. Ellenállás (rezisztancia)
- Jele: R
- Mértékegysége: Ω (Ohm)
- Fogalma:
- Vezető anyagok olyan tulajdonsága, mely megmutatja, hogy a szabad töltéshordozók mozgását mennyire akadályozza.
Ohm törvénye:
A törvény kimondja, hogy az elektromosan vezető anyagok a bennük áramló töltések mozgásával szemben a közegellenálláshoz hasonlítható elektromos ellenállással rendelkeznek. Ohm kísérletileg megállapította, hogy az áramerősség a vezeték két rögzített pontja között mérhető feszültséggel egyenesen arányos.


4. Villamos vezetés (konduktancia)
- Jele: G
- Mértékegysége: s (siemens)
- Fogalma:
- Egy vezető anyag villamos vezetőképességének a mértékét mutatja meg.

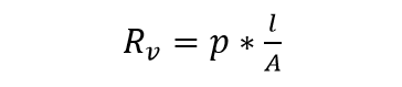
5. Fajlagos ellenállás
- Jele: p (ró)
- Mértékegysége:

- Fogalma:
- Egy vezető anyag 1m hosszúságú, 1 mm2 keresztmetszetű darabjának Ω- ellenállása szobahőmérsékleten (~20°C). Pl.:
ezüst: 0,016 (Ω*mm²)/m
vörösréz: 0,0175 (Ω*mm²)/m
arany: 0,023 (Ω*mm²)/m
alumínium: 0,028 (Ω*mm²)/m
vas/acél: 0,1 (Ω*mm²)/m
- Egy vezető anyag 1m hosszúságú, 1 mm2 keresztmetszetű darabjának Ω- ellenállása szobahőmérsékleten (~20°C). Pl.:

Szabványos keresztmetszetek:
0,25/0,5/0,75,1/1,5/2,5/4/6/10/16/25/35/50/75…mm2
Tetszőleges paraméterű vezető elektromos ellenállása:

Rv egyenesen aránylik a vezető hosszával, a vezető anyagával, és fordítottan aránylik a keresztmetszetével.
6. Villamos pillanatnyi teljesítmény
- Jele: P
- Mértékegysége: W (watt)
- Fogalma:
- 1s alatti munkavégző képessége egy villamos berendezésnek.
Egyenáramú villamos pillanatnyi teljesítmény [W]:
P=U*I→V*A→W
Váltakozóáramú villamos pillanatnyi teljesítmény [VA]:
Látszólagos teljesítmény:
[1F] S=U*I = VA (voltamper)
[3F] S=√3*U*I=VA
Hatásos teljesítmény [W]:
[1F] Ph=UF*IF*cosφ (cosφ mindig 0 és 1 közötti érték!)
[3F] Ph=√3*UV*IV*cosφ
Meddő teljesítmény [VAN]:
[1F] Q=UF*IF*sinρ
[3F] Q=√3*UV*IV*sinρ

7. Villamos munka / energia felhasználás
- Jele: W
- Mértékegysége: Ws
- Fogalma:
- Egy villamos készülék adott üzemideje alatt elfogyasztott/felhasznált energiamennyisége.
W=P*t [Ws]
W=U*I*t
8. Periódus idő
- Jele: T
- Mértékegysége: s
- Fogalma: egy teljes periódus megtételéhez szükséges időtartam.

9. Frekvencia
- Jele: f
- Mértékegysége: 1/3 vagy Hz
- Fogalma: Az 1s alatti teljes rezgésszám. periódusszám.

10. Hatásfok
- Jele: η
- Mértékegysége: %
- Fogalma: annak a mértéke amely megmutatja, hogy egy adott fogyasztó a felvett energiát milyen hatássosan alakítja át.

η < 100%
W hasznos < W összes
![]()
Hatásfok alkalmazása forgógépek esetén:
![]()
P mechanikai -> Tengelyteljesítmény
P mechanikai -> Hasznosult teljesítmén
P villamos -> Hálózatból felvett összes teljesítmény
P villamos > P mechanikai
![]()
11. Reaktancia
- Jele: XL (induktív reaktancia) / XC (kapacitív reaktancia)
- Mértékegysége: Ω (Ohm)
- Fogalma: Tekercsre vagy kapacitásra jellemző ellenállás érték, mely megmutatja egy ideális tekercs vagy kondenzátor mekkora ellenállásként viselkedik különféle váltakozóáramú hálózat különféle frekvencián.

-> A tekercs ellenállása függ a rákapcsolt feszültség frekvenciától.
| -> | f | = | XL | E. A |

-> A kondenzátor ellenállása frekvencia függő.
| -> | f | = | XC |
12. Impedancia (komplex ellenállás)
- Jele: Z
- Mértékegysége: Ω (Ohm)
- Fogalma: váltakozóáramú körbe kapcsolt nem ideális-valós tekercs vagy kondenzátor ohmos ellenállása, ezzel a frekvencia függő ellenállás vesz részt az áramkörben.
Valós tekercs komplex ellenállása -impedenciája.



